近日,我校安博官网体育旱作栽培团队(高志强教授领衔)气候变化对农业影响课题组(郝兴宇教授为课题负责人)分别在Journal of Hazardous Materials(影响因子14.224,1区Top)和Agricultural and Forest Meteorology(影响因子6.424,1区Top)发表了题为“Physiological and transcriptome analysis of response of soybean (Glycine max) to cadmium stress under elevated CO2 concentration”和“Early–maturing cultivar of winter wheat is more adaptable to elevated [CO2] and rising temperature in the eastern Loess Plateau”的研究论文。

图1 不同CO2 浓度和镉浓度处理下大豆形态指标变化

图2 不同CO2 浓度和镉浓度处理下差异基因分析
镉的持续积累对植物生长和食品安全具有长期的有害影响。工业革命以来全球大气CO2浓度持续升高,CO2浓度升高在影响作物生长的同时是否会对农田镉污染产生影响有待深入研究。本研究表明,CO2 浓度升高使编码脯氨酸降解酶的基因表达下调,使脯氨酸合成酶基因表达上调,进而增加脯氨酸含量抵御Cd 胁迫。CO2 浓度升高还调控了ROS相关基因的表达,促进了GSTs基因表达进而增强了对Cd胁迫的耐受性。此外,CO2 浓度升高还增强了Cd 转运及分配相关基因的表达。除这些防御机制外,编码植物螯合素合成酶、MTPs、NRAMP和液泡储存相关基因的表达量的上调也促进了对Cd的运输及区室化作用。这些调控可以促进了脯氨酸、可溶性糖、GSH和类黄酮等物质的积累,进而降低了大豆叶片中Cd2+、MDA和H2O2损伤物质的含量,缓解了镉对大豆生长的抑制作用。本研究可为挖掘大豆缓解镉胁迫调控基因,培育耐镉胁迫大豆提供依据,并为未来气候变化背景下大豆生产和品种选育提供理论基础。
我校安博官网体育在读博士研究生龚泽华为论文第一作者,通信作者为郝兴宇教授和李萍教授,该课题组宗毓铮教授、张东升副教授、史鑫蕊讲师、硕士研究生段宇谦,山西大学刘旦梅副教授参与了本研究工作。特别感谢山西大学裴雁曦教授团队对本研究的支持。本论文得到国家自然科学基金面上项目(31871517)、山西省留学人员科技活动择优资助项目(20220017、)山西农业大学省部共建有机旱作农业国家重点实验室自主研发项目(No. 202105D121008-3-7)的资助。
论文链接:https://doi.org/10.1016/j.jhazmat.2023.130950

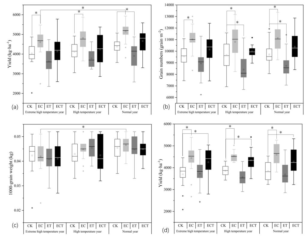
图3 大气CO2浓度和气温升高对不同小麦产量和产量构成的影响
地球系统模型预测未来2100年大气[CO2]将升高至400–1000 µmol·mol–1(SSP1-1.9–SSP5-8.5),温度将升高至1.6–4.5℃,且极端温度发生频率增加。了解温度升高和[CO2]升高对不同作物品种的影响,对于在适应气候变化的背景下制定农艺策略和品种选择至关重要。人工气候室结合作物模型模拟结果表明,[CO2]升高和2℃增温显著缩短了两个品种小麦播种和拔节天数进而缩短了整个生长期。2℃增温和[CO2]升高主要通过改变籽粒数来影响小麦产量。[CO2]升高能够缓解2℃增温对两个品种小麦产量的负效应,且对早熟品种的影响更为显著。极端高温降低晚熟品种产量,但对早熟品种无显著影响。早熟品种较短的生长期,可以一定程度上减少极端高温下热胁迫对小麦生产的损害。结果表明,在黄土高原东部地区,早熟品种比晚熟品种更能适应CO2浓度升高和气温的升高。
该论文的第一作者为安博官网体育2022届硕士研究生张媛铃(已毕业,现为气候变化对农业影响课题组科研助理),共同通讯作者为郝兴宇教授和中国农业大学王靖教授,课题组成员李萍教授、宗毓铮教授、张东升副教授、史鑫蕊讲师和澳大利亚墨尔本大学Shu Kee Lam博士参与该项研究。本论文得到山西农业大学省部共建有机旱作农业国家重点实验室自主研发项目(No. 202105D121008-3-7)、国家自然科学基金面上项目(31971773, 31871517)、山西省留学人员科技活动择优资助项目(20210041)、山西农业大学青年人才支持计划(201701D221190)的资助。
论文链接:https://doi.org/10.1016/j.agrformet.2023.109356